EDITED FROM THE RUSSIAN DOCUMENT BY:
www.jacmusic.com
Many editing has been done to make the html code good.
There may be errors in the text
еупомянутой емкостью.
8. ХАРАКТЕРНЫЕ НЕИСПРАВНОСТИ И МЕТОДЫ ИХ УСТРАНЕНИЯ
Характерные неисправности и методы их устранения приведены в табл. 5.
Таблица5
Наименование неисправностей внешнее проявление и дополнительные признаки |
Вероятная причина неисправности |
Методы устранения |
Измеритель не включается (сигнальная лампа не горит) |
Сгорел предохранитель |
Заменить предохранитель |
Обрыв или плохой контакт кабеля соединительного |
Проверить кабель соединительный |
|
Отсутствуют напряжения Ua, Ug2, 250V |
Неисправны диоды Д1009 – VD1б, VD12 |
Заменить диоды Д1009 |
Отсутствует напряжение Uа, остальные напряжения Ug2, 250V плавно регулируются |
Неисправны лампы VL1, VL2 – 6П1П-ЕВ, или VL4 6ЖЗП-Е |
Заменить лампы |
Неисправна цепь измерения Ua |
Прозвонить цепь измерения Ua |
|
Вышел из строя один из элементов цепи измерения Ua |
Заменить вышедший из строя элемент |
|
Анодное напряжение очень большое и не регулируется |
Неисправна лампа VL4, 6ЖЗП-Е |
Заменить лампу |
Отсутствует напряжение Ug2, остальные напряжения Uа, плавно регулируются |
Неисправны лампы VL8 – 6П1П-ЕВ, или VL9 - 6ЖЗП-Е |
Заменить лампы |
Неисправна цепь измерения Ug2 |
Прозвонить цепь измерения |
|
Сгорел резистор R110 |
Заменить резистор R110 |
|
Напряжение Ug2 очень большое и не регулируется |
Неисправна лампа VL4-6ЖЗП-Е |
Заменить лампу |
Неисправны лампы VL8-6П1П-ЕВ, или VL9-6Ж3П-Е |
Заменить лампы |
|
Отсутствует напряжение 250V, остальные напряжения Ua, Ug2 плавно регулируются |
Сгорел резистор R167 |
Заменить резистор R167 |
Неисправны лампы VL16-6П1П-ЕВ или VL17-6ЖЗП-Е |
Заменить лампы |
|
Стрелка измерителя при контроле 250V зашкаливает, напряжение не регулируется. Крутизномер не калибруется (стрелку прибора измерителя нельзя установить на калибровочную отметку шкалы) |
VL17-6ЖЗП-Е |
Заменить лампу |
При измерении «S» измеритель не калибруется (стрелка измерителя не устанавливается на калибровочную отметку шкалы), напряжение 250V устанавливается |
Неисправна лампа VL15-6НЗП-ЕВ |
Заменить лампу |
Обрыв в делителе генератора |
Заменить делитель генератора |
|
Неисправны лампы (любая) VL14-6ЖЗП-Е VL12-6ЖЗП-Е, VL13-6H3П-EB |
Заменить лампы |
|
Пред измерением Ig1, Ia0 измеритель не калибруется и не устанавливается на нуль |
Неисправны диоды Д237В, Д817Г – VD20 или лампа VL18-6НЗП-ЕВ |
Заменить диоды или лампу |
Сгорел резистор R119 или резистор R123 |
Заменить резистор R119 или резистор R123 |
|
Перед измерением Ig1, Ia0 измеритель устанавливается на нуль и калибруется, но при измерении стрелка измерителя не отклоняется |
Обрыв в делителе R93-R99 |
Заменить делитель |
8.1. При выявлении и устранении неисправностей рекомендуется:
проверить надежность крепления всех деталей, отсутствие пыли и коррозии внутри измерителя;
убедиться в исправности действия всех переключателей и тумблеров;
проверить затяжку винтовых соединений и при необходимости затянуть;
осмотреть состояние монтажа, качество паек и надежность электрических контактов;
при необходимости промыть контакты спиртом и пропаять.
При устранении неисправностей рекомендуется пользоваться картами напряжений и сопротивлений (приложение 8), схемами электрическими соединений (приложения 12, 13, 15), сборочным чертежом блока µА5 (приложение 14), перечнем элементов к схеме электрической принципиальной (приложение 11) и таблицами, приведенными в приложениях 9 и 16. После устранения неисправностей рекомендуется при проверке работоспособности измерителя пользоваться методикой, изложенной в настоящем разделе, в разделах 6, 10, и данными, приведенными в п. 8.3.
Перед проверкой работоспособности измерителя включить его в сеть, в коммутаторе закоммутировать гнезда 20/I, 26/I, 40/II, 52/II, ручкой переключателя СЕТЬ при нажатой кнопке СЕТЬ установить стрелку измерителя на калибровочную отметку шкалы, а ручку переключателя ИЗОЛЯЦИЯ поставить в положение ПАР. После 30 min прогрева измеритель раскоммутировать и приступить к проверке.
8.2. Методика проверки работоспособности измерителя после замены ламп.
Замена ламп электронных стабилизаторов напряжения VL1,VL2, VL4, VL8, VL9, VL16, VL17, как правило, не требует никаких дополнительных регулировок.
Иногда может потребоваться подрегулировка напряжения источника питания цепей схемы (250 V). Для этого необходимо в коммутаторе закоммутировать гнезда 20/I, 26/I, 40/II, 52/II, затем ручку переключателя ИЗОЛЯЦИЯ поставить в положение ПАР., а ручку переключателя ПАРАМЕТРЫ – в положение 250 и принажатой кнопке ИЗМЕРЕНИЕ с помощью регулятора 250 V (R169), расположенного на блоке стабилизаторов, установить напряжение, равное 250 V на шкале 300 V.
При замене ламп лампового вольтметра (VL12, VL13, VL14) необходимо проверить совпадение частоты генератора с частотой настройки лампового вольтметра, как указано в п. 10.4.3.2.
При замене лампы (VL18) лампового микроамперметра провести дополнительную установку пуля регулятором УСТ.0 (R122), расположенным на боковой панели с левой стороны измерителя. Для этого необходимо закоммутировать в коммутаторе гнезда 20/I, 26/I, 40/II, 52/II. Затем ручку переключателя ИЗОЛЯЦИЯ поставить в положение ПАР., ручку переключателя ПАРАМЕТРЫ – в положение Ig1, а тумблер µА (SА4) поставить в положение ИЗМЕР., регулятор 0µА (R123), расположенный на лицевой панели, поставить примерно в среднее положение; далее при нажатой кнопке ИЗМЕРЕНИЕ произвести установку нуля микроамперметра с помощью регулятора УСТ.0 (R122).
На этом дополнительная установка нуля заканчивается, дальнейшую установку нуля во время эксплуатации производить в соответствии с п. 7.1.6.
Лампу 6НЗП-ЕВ (VL18) использовать с асимметрией по току анода в пределах:

Примечание: При отсутствии лампы 6НЗП-ЕВ (VL18) с параметрами, указанными выше, потребитель может получить её на заводе-изготовителе измерителя за дополнительную плату.
При замене лампы лампового генератора (VL15) необходимо установить вновь частоту и амплитуду выходного напряжения генератора.
Для этого необходимо закоммутировать в коммутаторе гнезда 20/I, 26/I, 40/II, 52/II. Затем ручку переключателя ИЗОЛЯЦИЯ поставить в положение ПАР., ручку переключателя ПАРАМЕТРЫ поставить в положение S, а тумблер S поставить в положение КАЛИБР. Регулятор S – КАЛИБР., расположенный, справа от тумблера S, поставить в крайнее левое положение.
Вращением в небольших пределах регуляторов ЧАСТОТА и АМПЛИТУДА, расположенных на боковой панели с левой стороны измерителя, добиться максимального отклонения стрелки измерителя, которая должна находиться примерно на делении 70–80 шкалы, выходное напряжение генератора при этом должно быть равным 450 mV. На этом установка амплитуд и частоты заканчивается.
8.3. Проверка всех источников, кроме источника питания накала, поводится при нажатой кнопке ИЗМЕРЕНИЕ и в соответствии с табл. 6
ДАННЫЕ ДЛЯ ПРОВЕРКИ ИСТОЧНИКОВ ПИТАНИЯ
Таблица 6
Источник питания |
Значение выходного напряжения, V |
Номера коммутируемых гнёзд коммутатора |
Величина напряжения на уровне которого определятся нестабильность и коэффициент пульсации, V |
То нагрузки, Iн |
Регулируемое сопротивление нагрузки |
Значение нестабильности при изменении Iн на 50%, %, не более |
Значение коэффициента пульсации, %, не более |
Выходные гнезда источника для подключения образцового прибора |
Орган регулировки |
Положение ручки переключателя ПАРАМЕТРЫ |
К и А |
Накала |
1–14 |
21/I (или 23/Iили 22/II) 70/II; 69/II; 56/II; 59/I |
1; 6,3; 14 |
1,2А |
15Ohm, 25VA |
- |
15 |
«+»–56/II «-» 59/I |
Регуляторы НАКАЛ–ГРУБО и НАКАЛ–ТОЧНО |
Любое |
Вольтамперметр М2007 АмперметрЭ514/I Осциллограф С1-68 |
Анода |
5-25 |
5/II; 6/II; 9/II; 11/II; 12/II; 20/I; 25/I; 48/II; 60/II |
5; 15 |
50mА |
500Ohm 25VA |
3 |
3 |
«+»-12/II «-»-земляная клемма |
Регулятор «Ua» |
Ua |
Вольтамперметр М2007 Осциллограф С1-68 |
25-150 |
20/I; 25/I; 46/II; 58/II; 12/II |
40; 140 |
100mA |
1,5kOhm 15VA |
1 |
0,5 |
|||||
150-300 |
20/I; 26/I; 40/II; 52/II; 12/II |
300 |
100mA |
3kOhm 30VA |
1 |
0,5 |
|||||
Сетки второй |
10-150 |
19/I; 26/I; 46/II; 58/II |
10 |
15mA |
700Ohm 0,25VA |
3 |
3 |
«+»-гнездо «G2» «-»-земляная клемма |
Регулятор «Ug2» |
Ug2 |
Вольтамперметр М2007 Осциллограф С168 |
80; 140 |
15mA |
10kOhm 2,5VA |
1 |
0,5 |
|||||||
150–300 |
20/II; 26/I; 40/II; 52/II |
300 |
15mA |
20kOhm 5VA |
1 |
0,5 |
|||||
Цепей схемы 250V |
250 |
20/I; 26/I; 52/II; 39/II; 40/II |
250 |
- |
Постоянная нагрузка – цепь схемы |
- |
0,5 |
«+» - 39/II «-» - земляная клемма |
Регулятор «250V» |
250 |
|
Сетки первой |
-0,5¸-10 |
2/I |
- |
- |
- |
- |
- |
«-» - 2/I «+» - земляная клемма |
Регулятор Ug1-10 |
Ug1 |
Вольтметр М243 |
-10¸-65 |
1/I |
- |
- |
- |
- |
«-» - 1/I «+» - земляная клемма |
Регулятор Ug1-65 |
||||
-100+10 |
44/II |
- |
- |
- |
- |
«-» - 44/I «+» - земляная клемма |
- |
- |
Вольтамперметр М2007 |
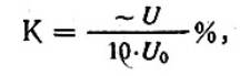
Коэффициент пульсации напряжения определяется по формуле:

где К – коэффициент пульсации, %;
~U – амплитудное значение переменного напряжения, измеренное осциллографом, mV;
Uo – значение постоянного, напряжения, на уровне которого определяется коэффициент пульсации, V.
Нестабильность напряжения определяется по формуле:
где S – нестабильность напряжения, %;
rU – изменение напряжения при изменении нагрузки на 50%,V;
Uо – значение постоянного напряжения, на уровне которого определяется нестабильность, V.
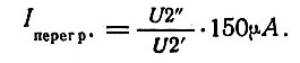
8.4. При замене диодов VD21 или VD22 (диодная защита стрелочного прибора) рекомендуется проверить ток перегрузки цепи прибора, который не должен превышать 750 µA.
Проверка тока перегрузки проводится следующим образом: ручку переключателя ИЗОЛЯЦИЯ поставить в положение ПАР., ручку переключателя ПАРАМЕТРЫ поставить в положение «Uа», закоммутировать гнезда 19/I, 25/I, 8/II, 46/II, 58/I и подключить вольтметр постоянного тока (PV1) кл. 0,5 со шкалами 15, 75, 150 V к гнезду 12/II и земляной клемме измерителя, а вольтметр постоянного тока (РV2) кл. 2,5 со шкалой 0,3; 1,0 V и с током потребления не более 40 µА – к плюсовой клемме прибора М906 и минусовому выводу диода VD21.
С помощью ручки регулятора Ua, нажав кнопку ИЗМЕРЕНИЕ, по вольтметру РV1 установить напряжение Ul'=15V и снять показания вольтметра PV2 (U2'')
Затем по вольтметру РV1 ручкой регулятора Ua установить напряжение U1" = 75V и при нажатой кнопке ИЗМЕРЕНИЕ снять показания вольтметра PV2 (U2").
Ток перегрузки рассчитать по формуле:

Техническое обслуживание выполняется не реже одного раза в шесть месяцев независимо от того, хранился или эксплуатировался измеритель, а также по получении измерителя с завода-изготовителя или с базы.
Технический осмотр проводится в следующем порядке:
провести внешний осмотр измерителя, шнуров и ЗИП на отсутствие механических повреждений и сохранность пломб;
проверить комплектность измерителя на соответствие требованиям раздела «Комплект поставки» формуляра;
продуть измеритель воздухом через перфорацию корпуса, после чего рекомендуется гнезда ламповых панелей и коммутатора прочистить щупом, смоченным в спирте.
По окончании технического осмотра в формуляре в разделе «Учет технического обслуживания» делается отметка о проведенной работе.
10. ПОВЕРКА ИЗМЕРИТЕЛЯ10.1. В настоящем разделе устанавливаются операции, методы и средства поверки измерителя у потребителя.
Поверку измерителя должны выполнять лица, имеющие квалификацию поверителя.
Поверка измерителя проводится 1 раз в год.
10.2. Операции и средства поверки.
10.2.1. При проведении поверки измерителя должны проводиться операции и применяться средства поверки, указанные в табл. 7
Номера пунктов раздела поверки |
Наименование операций, производимых при поверке |
Поверяемые параметры, шкалы |
Поверяемые точки |
Допустимое значение погрешности |
Предельно допустимые значения параметров |
Средства поверки |
|
образцовые |
вспомогательные |
||||||
10.4.1 |
Внешний осмотр |
||||||
10.2 |
Опробование |
||||||
10.4.3.1 |
Определение основной погрешности измерения |
||||||
А) |
напряжения питания анода |
15V |
3 6 9 12 15 |
+ 1,5% |
Вольтамперметр М2007 |
||
75V |
* 75 |
||||||
150V |
* 150 |
||||||
300V |
* 300 |
||||||
Б) |
напряжения питания сетки второй |
75V |
15 |
||||
150V |
* 150 |
||||||
300V |
* 300 |
||||||
В) |
напряжения питания цепей схемы измерителя 250 |
300V |
250 |
||||
Г) |
напряжения питания накала |
3,0V |
0,6 |
||||
7,5V |
* 7,5 |
||||||
15,0V |
* 15,0 |
||||||
Д) |
напряжения питания сетки первой |
1,5V |
0,3 |
Вольтметр постоянного тока М243 |
|||
3,0V |
* 3,0 |
||||||
7,5V |
* 7,5 |
||||||
15,0V |
* 15,0 |
||||||
30,0V |
* 30,0 |
||||||
75,0V |
* 75,0 |
||||||
Е) |
Тока анода, тока эмиссии, тока стабилизации |
1,5mA |
0,3 |
Вольтамперметр М2007 |
Нагрузочные сопротивления: 100kOhm; 0,25W |
||
3,0mA |
* 3,0 |
50kOhm; 0,5W |
|||||
7,5mA |
* 7,5 |
20kOhm; 2W |
|||||
15,0mA |
* 15,0 |
10kOhm; 5W |
|||||
30,0mA |
* 30,0 |
5kOhm; 5W |
|||||
75,0mA |
* 75,0 |
2kOhm; 15W |
|||||
150,0mA |
* 150,0 |
1kOhm; 25W |
|||||
Ж) |
Тока сетки второй |
0,75mA |
0,15 |
Нагрузочные сопротивления: 150kOhm; 0,1W |
|||
1,50mA |
* 1,50 |
75kOhm; 0,25W |
|||||
3,00mA |
* 3,00 |
40kOhm; 0,5W |
|||||
7,50mA |
* 7,50 |
15kOhm; 1W |
|||||
15,00mA |
* 15,00 |
7,5kOhm; 2W |
|||||
З) |
Тока выпрямлённого |
150mA |
30 60 90 120 150 |
||||
300mA |
* 300 |
||||||
И) |
Обратного тока сетки первой, тока анода в начале характеристики, тока утечки между электродами |
0,75µA |
0,15 0,30 0,45 0,60 0,75 |
+2,5% |
Милливольтмикроамперметр М1201 |
Нагрузочные сопротивления: 10MOhm; 0,1W |
|
3,00µA |
* 3,00 |
3MOhm; 0,1W |
|||||
15,00µA |
* 15,00 |
0,68MOhm; 0,1W |
|||||
30,00µA |
* 30,00 |
300kOhm; 0,1W |
|||||
150,00µA |
* 150,00 |
68kOhm; 0,1W |
|||||
З) |
Крутизны анодно-сеточной характеристики |
150mA/V |
30 60 90 120 150 |
+2,5% |
Вольтметр эффективных значений Ф584 Генератор сигналов низкочастотный ГЗ-56/I |
||
10.4.3.2 |
Определение частоты настройки крутизномера |
Частота настройки |
1400Hz |
1350-1450Hz |
Вольтметр эффективных значений Ф584 Частотомер электронно-счётный ЧЗ-38 |
||
10.4.3.3 |
Определение ослабления ламповым вольтметром крутизномера сигналов на частотах отличающихся от основной, 1400Hz |
ослабление |
1200Hz 800Hz |
Не менее 10 раз Не менее 100 раз |
Генератор сигналов низко частотный Г3-56/I. Вольтметр эффективных значений Ф584 |
||
Примечания: 1. Вместо указанных в таблице образцовых и вспомогательных средств поверки разрешается применять другие аналогичные измерительные приборы, обеспечивающие измерение соответствующих параметров с требуемой точностью.
2. Образцовые (вспомогательные) средства поверки должны быть исправны, поверены и иметь свидетельство (отметки в формулярах и паспортах) о государственной или ведомственной поверке.
3. Операции поверки по п. 10.4.3.2, 10.4.3.3. должны проводится только при выпуске измерителя после ремонта.
4. * - измерение проводится в отметке шкалы, которая имеет наибольшее значение погрешности на наименьшей шкале
10.2.2. При поверке измерителя рекомендуется использовать следующие средства поверки (табл. 8).
Наименование средств поверки |
Нормативно-технические характеристики |
||
тип |
класс точности |
Используемые шкалы |
|
Амперметр переменного и постоянного тока |
Э514/I |
+/- 0,5% |
1;2A |
Вольтамперметр |
М2007 |
+/- 0,2% |
1,5; 3,0; 7,5; 15,0; 30,0; 75,0; 150,0; 300,0; 600,0 V; 0,75; 1,50; 3,00; 7,50; 15,0; 30,00; 75,00; 150,00; 300,00 mA. |
Вольтметр эффективных значений |
Ф584 |
+/- 0,5% |
0,030; 0,100; 0,300; 1,000 V |
Вольтметр переменного тока |
Э515/3 |
+/- 0,5% |
150, 300 V. |
Вольтметр постоянного тока |
М-243 |
+/- 0,2% |
1,5; 3,0; 7,5; 30,0; 75,0 V |
Генератор сигналов низкочастотный |
Г3-56/I |
(0,01/+/- 0,5)Hz |
0,02-20 kHz |
Милливольтмикроамперметр |
М1201 |
+/- 0,5% |
0,75; 3,00; 15,00; 75,00; 150,00 µA |
Осциллограф |
С1-68 |
10% по амплитуде |
0-1 MHz |
Частотомер |
Ч3-38 |
0-50 MHz 0,1-100 V |
|
10.3. Условия поверки и подготовка к ней.
10.3.1.при проведении операций поверки должны соблюдаться следующие условия:
температура окружающей среды 293 +/- 5 К (20 +/- 5°С);
относительная влажность воздуха 65 +/- 15%;
атмосферное давление 100 +/- 4 кРа (750 +/- 30 mmHg);
напряжение сетевого питания 220 +/- 4,4 V 50 +/- 0,5 Hz;
коэффициент нелинейного искажения сетевого напряжения до 5%.
10.3.2.Подготовка к поверке проводится, в соответствии с разделом 6 настоящего ТО.
10.4. Проведение поверки.
10.4.1. Внешний осмотр. При проведении внешнего осмотра должно быть установлено следующее:
сохранность клейм предыдущей поверки;
целостность сетевой колодки питания, ламповых панелей, измерительного прибора;
отсутствие серьезных механических повреждений корпуса, прочность крепления деталей и винтов;
надежность фиксации ручек органов управления и регулирования;
четкость надписей на лицевой панели.
10.4.2.Опробование. Опробование, измерителя производится в соответствии с п. 7.1. настоящего технического описания, но вместо коммутации карты за коммутировать гнезда 20/I, 26/I, 40/II, 52/II в коммутаторе.
10.4.3.Определение метрологических характеристик
10.4.3.1.Определение основной погрешности измерения Определение основной погрешности измерения проводится методом сличения показаний измерителя с показаниями средств поверки и определения соответствия полученных значений погрешности с допустимыми значениями приведенной погрешности измерителя, указанных в табл. 7.
Основная приведенная погрешность измерения рассчитывается по формуле:
где Аизм. – показания в поверяемой точке шкалы измерителя;
Аср.пов – показания средства поверки;
В – предельное значение шкалы;
d – основная приведенная погрешность,%.
Определение погрешности измерения начинается на шкале с наименьшим номинальным значением и определяется в числовых отметках рабочей части (2/3) шкалы измерителя.
На остальных шкалах – в отметках с наибольшим значением погрешности, определенной на шкале с наименьшим значением, и конечной отметке шкалы.
а) Определение погрешности измерения напряжения питания анода Ua.
При определении погрешности измерения напряжения питания анода используется источник питания анодной цепи проверяемой лампы, поэтому внешний источник питания не требуется.
Образцовый вольтметр класса 0,2 подключить плюсовым зажимом с помощью штепселя к гнезду 12/II коммутатора, а минусовым зажимом – к земляной клемме измерителя, ручку переключателя ИЗОЛЯЦИЯ поставить в положение ПАР, ручку переключателя ПАРАМЕТРЫ – в положение Uа. Поверка начинается на шкале 15V. Для этого необходимо в коммутаторе закоммутировать гнезда 25/I, 20/I, 8/II, 46/II, 58/II.
Далее регулятором Ua плавно изменять анодное напряжение и при нажатой кнопке ИЗМЕРЕНИЕ снимать показания с образцового вольтметра и измерителя, цена деления шкалы измерителя при этом составляет 0,2 V,
При определении погрешности измерения на шкале 75 V необходимо закоммутировать гнезда 25/I, 20/I, 46/II, 58/II, 9/II, на шкале 150 V вместо гнезда 9/II закоммутировать гнездо 10/II, цена деления шкалы измерителя при этом составляет: на шкале 75 V – 1 V, на шкале 150 V – 2 V.
При определении погрешности измерения на второй половине шкалы – 300 V закоммутировать гнезда 26/I, 20/I, 40/II, 52/II, цена деления шкалы измерителя при этом составляет 4 V.
б) Определение погрешности измерения напряжения питания сетки второй Ug2
При определении погрешности измерения напряжения питания сетки второй используется источник питания сетки второй проверяемой лампы.
Образцовый вольтметр класса 0,2 подключить плюсовым зажимом к гнезду G2, а минусовым зажимом – к земляной клемме измерителя.
Ручку переключателя ИЗОЛЯЦИЯ поставить в положение ПАР., ручку переключателя ПАРАМЕТРЫ – в положение Ug2. Плавное изменение напряжения производить регулятором Ug2.При определении погрешности измерения на шкале 75 V необходимо закоммутировать гнезда 18/II, 26/I, 19/I, 46/II, 58/II, 23/II; на шкале 150 V вместо гнезда 23/II закоммутировать гнездо 24/II.
При определении погрешности измерения на второй половине шкалы – 300 V закоммутировать гнезда 26/I, 20/I, 40/II, 52/II,18/II.
в) Определение погрешности измерения напряжения питания цепей схемы измерителя 250 V.
Шкала для проверки напряжения питания цепей схемы измерителя составляет 300 V. При определении погрешности измерения на этой шкале используется источник питания цепей схемы (250 V).
Образцовый вольтметр класса 0,2 подключить плюсовым зажимом с помощью штепселя к гнезду 39/II, а минусовым зажимом к земляной клемме измерителя.
Ручку переключателя ИЗОЛЯЦИЯ поставить в положение ПАР., ручку переключателя ПАРАМЕТРЫ – в положение 250.
Закоммутировать гнезда – 20/I, 26/I, 40/II, 52/II.
Плавную регулировку напряжения производить регуляторами «250 V» (R169), достаточно определить погрешность измерения только в точке 250 V.
г) Определение погрешности измерения напряжения питания сетки первой Ug1.
Образцовый прибор класса 0,2 подключить минусовым зажимом с помощью штепселя к гнезду 43/I, а плюсовым зажимом – к земляной клемме измерителя. Ручку переключателя ИЗОЛЯЦИЯ поставить в положение ПАР., а ручку переключателя ПАРАМЕТРЫ – в положение Ug1.
Закоммутировать следующие гнезда в коммутаторе: 20/I, 26/I,40/II, 52/II. а также при определении погрешности измерения: на шкале 1,5V – гнёзда 15/I, 2/I
» 3 V – » 16/I, 2/I
» 7,5V - » 17/I, 2/I
» 15 V – » 18/I 1/I
» 30 V – » 13/II, 1/I
» 75 V – » 1/I
при этом цена деления
шкалы 1,5V составляет 0,02V
» 3 V » 0,04 V
» 7,5 V » 0,1 V
» 15 V » 0,2V
» 30 V » 0,4 V
» 75 V » 1V.
Плавное изменение напряжения производить регуляторами Ug1 – 10 и Ug1 – 65.
Примечание. Вольтметр для проверки источника сетки первой должен потреблять ток не более 0,3 mА.
д) Определение погрешности измерения напряжения питания накала Uh, Uf.
Образцовый вольтметр класса 0,2 подключить плюсовым зажимом с помощью штепселя к земляной клемме, а минусовым зажимом – к гнезду 55/I коммутатора. Ручку переключателя ИЗОЛЯЦИЯ поставить в положение ПАР., а ручку переключателя ПАРАМЕТРЫ – в положение Ug1. При определении погрешности измерения напряжения накала используется источник питания сетки первой, при этом кнопку ИЗМЕРЕНИЕ нажимать не надо, ззкоммутировать в коммутаторе гнезда 65/II, 72/II и при определении погрешности измерения:
на шкале 3V – гнезда 13/I, 2/I, 47/I,
» 7,5 V - » 14/I, 2/I, 47/I,
» 15 V– » 1/I, 47/I.
При определении погрешности измерения на шкалах 3V и 7,5V плавное изменение напряжения производить регулятором Ug1 – 10,на шкале.15 V – регулятором Ug1 – 65.
е) Определение погрешности измерения тока анода Iа и тока эмиссии Iе.
При определении погрешности измерения тока анода используется источник питания анодной цепи проверяемой лампы.
Образцовый миллиамперметр класса 0,2, соединенный последовательно с внешним сопротивлением нагрузки, подключить плюсовым зажимом к гнезду 67/I коммутатора, а минусовым зажимом – к земляной клемме измерителя.
Ручку переключателя ИЗОЛЯЦИЯ поставить в положение ПАР., ручку переключателя ПАРАМЕТРЫ – в положение Ia. На коммутаторе закоммутировать гнезда 12/II, 25/I, 58/II, 46/II, 20/I и при определении погрешности измерения:
на шкале 1,5mA – гнездо 27/I,
3 mА –28/I,
7,5 mА–29/I,
15 mА–30/I,
30 mА–25/I,
75 mA– 26/II,
150 mА–27/II,
при этом цена деления
шкалы 1,5 mА составляет 0,02 mА,
3 mА 0,04 mA,
7,5 mA 0,1 mА,
15 mА 0,2 mА,
30 mА 0,4 mА,
75 mА 1 mА,
150 mА 2mА.
Значение тока Iа устанавливать ручкой Ua.
ж) Определение погрешности измерения тока сетки второй Ig2. При определении погрешности измерения тока сетки второй используется источник питания сетки второй.
Образцовый миллиамперметр класса 0,2, соединенный последовательно с внешним сопротивлением нагрузки, подключить плюсовым зажимом к гнезду 61/I коммутатора, а минусовым зажимом – к земляной клемме измерителя.
Ручку переключателя ИЗОЛЯЦИЯ поставить в положение ПАР., а ручку переключателя ПАРАМЕТРЫ – в положение Ig2.На коммутаторе закоммутировать гнезда 19/I, 26/I, 40/II, 52/II и при определении погрешности измерения:
на шкале 0,75 mA – гнездо 14/II,
1,5mA – 15/II,
3mА – 16/II,
7,5mА – 17/II,
15mА – 18/II,
при этом цена деления шкалы 0,75 mА составляет 0,01 mА, остальных шкал – как указано в п. 10.4.3. 1е.
Значение тока Ig2 устанавливать регулятором Ug2.
з) Определение погрешности измерения выпрямленного тока Iвп.
При определении погрешности измерения Iвп необходимо образцовый миллиамперметр класса 0,2 подключить плюсовым зажимом к гнезду 55/II, а минусовым – к гнезду 42/I измерителя.
Ручку переключателя ИЗОЛЯЦИЯ поставить в положение ПАР., ручку переключателя ПАРАМЕТРЫ - в положение Iвп.
На коммутаторе закоммутировать гнезда 42/I, 55/II, 57/II, 69/II,70/II, а также одно из гнезд – 24/I, 19/II, 20/II, 21/II, 22/II. Кроме того закоммутировать гнездо 7/I при поверке погрешности измерения на шкале 150 mА, а на шкале 300 mА – гнездо 8/I.
Изменяя величину тока регуляторами НАКАЛ – ГРУБО и НАКАЛ - ТОЧНО, при нажатой кнопке ИЗМЕРЕНИЕ снять показания с образцового миллиамперметра и измерителя.
и) Определение погрешности измерения обратного тока сетки первой Ig1, тока, анода в начале характеристики Iа0 и тока утечки между электродами Iут.
При определении погрешности измерения lg1, Iа0, «Iут» используется источник питания сетки первой. Образцовый микроамперметр класса 0,5, последовательно соединенный с внешним (нагрузочным сопротивлением, включить минусовым зажимом с помощью штепселя к гнезду 43/I, а плюсовым зажимом – к земляной клемме измерителя.
Ручку переключателя ИЗОЛЯЦИЯ поставить в положение ПАР., ручку переключателя ПАРАМЕТРЫ – в положенне Ig1.
На коммутаторе закоммутировать гнезда 2/I, 20/I, 26/I, 40/II,52/II, затем произвести установку нуля и калибровку лампового микроамперметра, как описано в п. 7.1.8.
При поверке погрешности измерения дополнительно коммутировать:
при этом цена деления
шкалы 0,75 µА составляет 0,01 µA
3µA - 0,04 µА,
15µA - 0,2 µА,
30µA - 0,4 µА,
150µA - 2,0 µА.
Величина тока устанавливается регулятором Ug1 – 10.
к) Определение погрешности измерения крутизны анодно-сеточной характеристики S.
Определение погрешности измерения крутизны производить с помощью милливольтметра переменного тока класса 0,5 со шкалой 150 mV и генератора, при этом лампу VL15 (6НЗП – ЕВ) вынуть.
Милливольтметр, а также генератор подключить одним из выходных, зажимов с помощью штепселя к гнезду 6/I коммутатора, а другим – к земляной клемме измерителя.
Ручку переключателя ИЗОЛЯЦИЯ поставить в положение ПАР., ручку переключателя ПАРАМЕТРЫ – в положение S. Тумблер S поставить в положение КАЛИБР. На коммутаторе закоммутировать гнезда 20/I, 26/I, 40/II, 52/II.
По милливольтметру установить выходное напряжение генератора, равное 120 mV частотой 1400 Hz. Вращением ручки ЧАСТОТА звукового генератора (1400 +/- 50 Hz) при нажатой кнопке ИЗМЕРЕНИЕ добиться максимума показания измерителя (выходное напряжение генератора должно быть равным 120 mV). Далее с помощью регулятора S – КАЛИБР. (R129) стрелку измерителя поставить на калибровочную отметку шкалы (деление 120). Затем, не изменяя частоты генератора, изменять выходное напряжение его и при нажатой кнопке ИЗМЕРЕНИЕ снять показания с милливольтметра и измерителя.
10.4.3.2.Определение частоты настройки крутизномера. Для определения частоты настройки крутизномера необходимо ручку переключателя ИЗОЛЯЦИЯ установить в положение ПАР., ручку переключателя ПАРАМЕТРЫ – в положение S, тумблер S – в положение КАЛИБР.
В коммутаторе закоммутировать гнезда 20/I, 26/I, 40/II, 52/II,
Вольтметр переменного тока и частотомер подключить к гнезду 4/I коммутатора и к земляной клемме измерителя.
При нажатой кнопке ИЗМЕРЕНИЕ с. помощью регуляторов АМПЛИТУДА и ЧАСТОТА, расположенных на левой боковой панели измерителя, добиться максимума показаний измерителя, причем переменное напряжение, измеренное ламповым вольтметром, должно быть равным 450 mV.
После этого по частотомеру отсчитать значение частоты.
Значение частоты настройки крутизномера должно быть в пределах 1400+50 Hz.
10.4.3.3.Определение ослабления ламповым вольтметром крутизномера сигналов на частотах, отличающихся от основной, проводится в определенном порядке. .
Тумблер S поставить в положение КАЛИБР., лампу VL15 вынуть, закоммутировать гнезда 20/I, 26/I, 40/II, 52/II. Генератор подключить к гнезду 4/I коммутатора и к земляной клемме измерителя. Выходное напряжение генератора установить равным 450 mV по внешнему вольтметру переменного тока. Затем вольтметр, переменного тока, подключить к гнезду ЛАМПОВЫЙ ВОЛЬТМЕТР на боковой панели слева и с помощью ручки ЧАСТОТА генератора (около 1400 Hz) добиться максимума показаний вольтметра и установить его равным 15 V ручкой ВЫХОД генератора. Поддерживая выходное напряжение генератора постоянным, изменять его частоту. При частоте выходного напряжения генератора 800 Hz и 1200 Hz снять показания образцового вольтметра переменного тока. Ослабление вычисляется по формуле:

где s – ослабление, раз;
U – показания образцового вольтметра переменного тока на основной частоте, V (т. е. 15V при f = 1400+50 Hz);
U1 – показания образцового вольтметра переменного тока при частоте выходного напряжения генератора 800 Hz . или 1200 Hz, V.
10.4.3.4. Определение параметров источников питающего напряжения
Определение параметров источников проводить в соответствии с требованиями подраздела 8.3, и таблицы 6 настоящего ТО.
10.4.3.5. Полученные результаты поверки должны заноситься в формуляр в раздел «Периодическая проверка основных нормативно-технических характеристик».
10.5. Заключение по результатам поверки
На основании полученных результатов должно быть установлено соответствие или несоответствие поверяемых характеристик измерителя требуемым нормативно-техническим характеристикам.
10.5.1: При положительных результатах поверки.
10.5.1.1.При государственной периодической поверке в период, действия гарантийных обязательств в формуляре в разделе «Сведения о результатах поверки инспектирующими и проверяющими лицами» в графе «Результат осмотра или поверки» делается запись «удовлетворительный» и заверяется подписью поверителя.
На измерителе остаются клейма завода-изготовителя и выдается свидетельство о проведенной поверке с заполнением обратной стороны свидетельства по образцу.
10.5.1.2.При ведомственной периодической поверке, которая проводилась в период действия гарантийных обязательств, на измерителе остаются клейма завода-изготовителя. В формуляре результат поверки заверяется в установленной форме.
Если поверка проводится в период окончания действия гарантийных обязательств, то на измеритель наносятся клейма поверителя в соответствии с разделом 4 настоящего технического описания.
10.5.2. При отрицательных результатах поверки.
Если государственная или ведомственная поверка проводилась в период действия гарантийных обязательств, то в формуляре в разделе «Сведения о результатах поверки инспектирующими и поверяющими лицами» в графе «Результат осмотра или поверки» делается запись «неудовлетворительный» и заверяется подписью поверителя, составляется рекламация в установленном порядке.
Если срок действия гарантийных обязательств истек, то с измерителя удаляются клейма (пломбы) предыдущей поверки, и измеритель передается в ремонт.
После ремонта проводится первичная государственная или ведомственная поверка.
При окончательном списании измерителя, в формуляре делается запись «списан», клейма (пломбы) с измерителя удаляются и производится списание измерителя в установленном порядке.
11. ПРАВИЛА ХРАНЕНИЯИзмеритель должен храниться в отапливаемом помещении в укладочном ящике при температуре воздуха от 1 до 40°С, относительной влажности воздуха до 80%, а без упаковки – при температуре от +10° до +35°С и относительной влажности воздуха до 80% при температуре 25°С.
В помещении для хранения не должно быть пыли, паров кислот, щелочей, агрессивных газов и других вредных примесей, вызывающих коррозию.
12. ТРАНСПОРТИРОВАНИЕ12.1.Тара, упаковка и маркирование упаковки
12.1.1. Каждый измеритель, обернутый 3 слоями парафинированной бумаги, помещается в укладочный ящик.
На крышке и с правой стороны укладочного ящика нанесены эмалью черной шифр измерителя, год выпуска, заводской номер и надпись «ЯЩИК 1/I». Измерители в укладочных ящиках в зависимости от требований заказа-наряда помещаются в транспортную тару или контейнеры.
Маркирование транспортной тары производится в соответствии с требованием ГОСТ 14192–77 и заказа-наряда. Предупредительные знаки должны иметь надпись «ОСТОРОЖНО, ХРУПКОЕ» и «ВЕРХ, НЕ КАНТОВАТЬ».
12.2.Условия транспортирования
12.2.1. Измеритель должен транспортироваться в условиях, не превышающих заданных предельных условий: от минус 50°С до +50°С, относительной влажности до 95% при температуре +25°С. После транспортировки измерителя в предельных условиях он должен быть выдержан в нормальных условиях не менее 48 часов.
12.2.2. Измеритель допускается транспортировать всеми видами транспорта в укладочном ящике, помещенном в транспортную тару или контейнер, при условии защиты от прямого воздействия атмосферных осадков и пыли. При транспортировании самолетом измерители должны размещаться в герметизированном отсеке.
Приложение 1ПЕРЕЧЕНЬ ЭЛЕКТРОННЫХ ЛАМП, ПРОВЕРЯЕМЫХ НА ИЗМЕРИТЕЛЕ1. В режиме технических условий или государственного стандарта на лампу.
1.1. Диоды: 2Х1Л 6Х2П.12Х3С
1.2. Триоды 2С3А, 6С1Ж., 6С1П, 6С2Б, 6С2Б-В, 6С2П, 6С2С, 6С3П. 6С3П-ДР, 6С3П-ЕВ, 6С4П, 6С4П-ДР, 6С5Д, 6С6Б, 6С6Б-В, 6С7Б, 6С7Б-В, 6C8C, 6С9Д, 6С15П, 6С15П-Е, 6C26Б-K, 6С27Б-К, 6С31Б, 6С34А, 6С34A-B, 6С45П-Е, 12C3C
1.3. Двойные триоды: 1H3C, 6Н1П, 6Н1П-ВИ, 6Н1П-ЕВ, 6Н2П, 6H2П-EB, 6Н2П-ЕР, 6Н3П, 6НЗП-Е, 6Н3П-ЕВ, 6Н5П, 6Н6П, 6Н6П-И, 6Н6П-ИР, 6H7C, 6Н8С, 6Н9С, 6Н12С, 6Н15П, 6Н26П, 6Н27П, 6Н28Б-В.
1.4. Выходные пентоды и лучевые тетроды: 1П2Б, 1П4Б, 1П22Б, 1П22Б-В, 1П24Б, 1П24Б-В, 2П1П, 2П5Б, 2П29Л, 4П1Л, 6П1П, 6П1П-В, 6П1П-ЕВ, 6ПЗС, 6П3С-Е, 6П6С, 6П7С, 6П9, 6П14П, 6П14П-В, 6П14П-ЕВ, 6П14П-ЕР, 6П15П, 6П15П-В, 6П15П-ЕВ, 6П15П-ЕP, 6П23П, 6П25Б, 6П25Б-В, 6П35Г-В, 6Р2П, 6Э5П, 6Э5П-И, 6Э6П-Е, 6Э12П-В, 6Э13Н, 6Э14Н, 10П12С, 13П1С, 1515.
Пентоды с короткой характеристикой: 1Ж17Б, 1Ж18Б, 1Ж24Б, 1Ж37Б, 2Ж.27Л, 4Ж1Л, 6Ж1Б, 6Ж1Г-В, 6Ж1Ж, 6Ж1П, 6Ж1П-ЕВ, 6Ж2Б, 6Ж2Б-В, 6Ж2П, 6Ж2П-В, 6Ж2П-ЕВ, 6Ж3, 6ЖЗП, 6ЖЗП-Е, 6Ж4, 6Ж4П, 6Ж5Б, 6Ж5Б-В, 6Ж5П, 6Ж7, 6Ж8, 6Ж9Г-В, 6Ж9П, 6Ж9П-Е, 6Ж10Б, 6Ж10Б-В, 6Ж10П, 6Ж11П, 6Ж11П-Е, 6Ж23П, 6Ж23П-Е, 6Ж32Б, 6Ж32П, 6Ж33А, 6Ж33А-В, 6Ж35Б-В, 6Ж45Б-В, 6Ж46Б-В, 10Ж1Л, 10Ж3Л, 12Ж1Л, 12Ж3Л, 12Ж8, 6Ж49П-Д, БЖ49П-ДР, 6Ж43П-Е, 6Ж51П.
Пентоды с удлинённой характеристикой: 1К2П, 6К1Б, 6К1Б-В, 6К1Ж, 6К1П, 6K3, 6К4, 6К4П, 6К6А, 6К6А-В, 6К7, 6К11Б-К, 12К4.
1.7. Генераторные лампы: Г-1625, ГУ-15, ГУ-32, ГУ-50.
1.8. Индикаторные лампы: 6Е1П, 6E5C.
1.9. Kенотроны: 1Ц1С, 1Ц7С, 1П11П, 1Ц21П, 3Ц16С, 3Ц18П, 6Ц13П.
Комбинированные лампы: 1Б2П, 6Б8 (пентод), 6Г1 (триод), 6Г2 (триод), 6Г7 (триод), 6И1П (триод), 6Ф1П, 6Ф3П (триод), 6Ф4П (триод), 6Ф5П (триод), 6Ф6С, 12Г1 (триод), 12Г2 (триод).
Стабилитроны: СГ1П, СГ1П-ЕВ, СГ2П, СГ2С, СГ3С, СГ4С, СГ5Б, СГ5Б-В, СГ13П, СГ15П-2, СГ16П, СГ20Г, СГ201С.
Частотно-преобразовательные лампы: 6А2П, 6А7, 6Л7.
2. Не в режиме условий или государственного стандарта на лампу.
Не в режиме технических условий из-за величины переменного напряжения накала, контролируемого косвенным методом - диод 4Ц14С, триоды: 2С4С, 6С4С, двойные триоды: 6H5C, 6Н13С, выходные пентоды: 6П13С, 6П31С, генераторные лампы: ГИ-30, ГУ-29, кенотроны: 2Ц2С, 4Ц6С.
Не в режиме технических условий из-за величины переменных напряжений на анодах, контролируемых косвенным методом, и из-за величины емкости, шунтирующей нагрузочное сопротивление кенотрона, - кенотроны: 6Ц4П, 6Ц4П-В, 6Ц5С.
2.3. Не в режиме технических условий из-за величины переменных напряжений накала и анода, контролируемых косвенным методом, - кенотроны: 5ЦЗС, 5Ц4М, 5Ц4С.
2.4. Не в режиме технических условий из-за величины сопротивления и цепи автоматического смешения:
двойные триоды: 6НЗП-И, 6И14П, 6Н16Б, 6Н16Б-B, 6Н17Б, 6Н17Б-В, 6Н18Б, 6Н18Б-В, 6Н21Б, 6Н23П-ЕВ;
триоды: 6С19П, 6С19П-В, 6С19П-ВР, 6С29Б-В, 6С32Б, 6С35А, 6С35А-В, 6С51Н-В, 6C52H-B;
пентоды: 6Ж9Г, 6Ж38П, 6П18П, 6Ф5П (пентод), 6Ж38П-ЕВ, 6П43П-Е.
2.5. Не в режиме технических условий из-за величины напряжения на сетке четвертой - частотно-преобразовательная лампа 6А8.
2.6. Не в режиме технических условий из-за величины напряжения на сетке первой - частотно-преобразовательные лампы: 1A1П, 1А2П.
2.7. Не в режиме технических условий из-за величины напряжения на сетке третьей - гептод 6И1П.
2.8. Изменена методика проверки параметров ламп из-за отсутствия в технических условиях их номинальных максимальных значений – у диодов:2Д1С, 4Д5С, 6Д3Д, 6Д4Ж, 6Д6А, 6Д6А-В; у двойных диодов 6Х6С, 6Х7Б; у кенотрона:5Ц12П; у диодной части ламп: 6Б8, 6Г1, 6Г2, 6Г7, 12Г1, 12Г2.
Примечания: 1. Знак «c» на карте перед номером ТУ или государственного стандарта означает, что параметры лампы проверяются не в режимах ТУ или государственного стандарта, следовательно, их значения являются приближёнными и не могут быть критерием забракования лампы. Если знак «c» стоит около обозначения параметра, то только этот параметр проверяется не в режимах ТУ.
2. Номер карты на измеряемую лампу указан в перечне входящем в комплект карт.
Приложение 8КАРТА НАПРЯЖЕНИЙОбозначение на схеме |
Тип элемента |
Величина напряжений, V |
||||||||||
Номера лепестков ламповых панелей |
Полярность вывода диода |
|||||||||||
1 |
2 |
3 |
4 |
5 |
6 |
7 |
8 |
9 |
+ |
- |
||
VL1 |
6П1П-ЕВ |
620 |
620 |
110 |
~6,3* |
~6,3* |
620 |
26 |
110 |
620 |
. | . |
VL2 |
6П1П-ЕВ |
620 |
620 |
110 |
~6,3* |
~6,3* |
620 |
26 |
110 |
620 |
. | . |
VL4 |
6Ж3П-Е |
-2,2 |
0 |
~6,3* |
~6,3* |
26 |
80 |
0 |
- |
- |
. | . |
VL8 |
6П1П-ЕВ |
620 |
620 |
110 |
~6,3* |
~6,3* |
620 |
26 |
110 |
620 |
. | . |
VL9 |
6Ж3П-Е |
-2,2 |
0 |
~6,3* |
~6,3* |
26 |
80 |
0 |
- |
- |
. | . |
VL12 |
6Ж3П-Е |
0 |
1,5 |
~6,3* |
~6,3* |
105 |
50 |
1,5 |
- |
- |
. | . |
VL13 |
6Н3П-ЕВ |
~6,3* |
110 |
105 |
255 |
0 |
255 |
105 |
110 |
~6,3* |
. | . |
VL14 |
6Ж3П-Е |
0 |
1,5 |
~6,3* |
~6,3* |
105 |
50 |
1,5 |
- |
- |
. | . |
VL15 |
6Н3П-ЕВ |
~6,3* |
5 |
0 |
160 |
- |
205 |
0 |
6 |
~6,3* |
. | . |
VL16 |
6П1П-ЕВ |
620 |
620 |
275 |
~6,3* |
~6,3* |
620 |
245 |
275 |
620 |
. | . |
VL17 |
6Ж3П-Е |
-2 |
0 |
~6,3* |
~6,3* |
245 |
80 |
0 |
- |
- |
. | . |
VL18 |
6Н3П-ЕВ |
~6,3* |
23** |
21** |
104** |
- |
104** |
21** |
23** |
~6,3* |
. | . |
VD11 |
Д1009 |
. |
. | . | . | . | . | . | . | . | ~430 |
620 |
VD12 |
Д1009 |
. |
. | . | . | . | . | . | . | . | ~430 |
620 |
VD13 |
МД218 |
. |
. | . | . | . | . | . | . | . | -350 |
~260 |
VD14 |
Д237В |
. |
. | . | . | . | . | . | . | . | -135** |
180** |
VD15 |
Д817Г |
. |
. | . | . | . | . | . | . | . | -100 |
- |
VD16 |
Д817Г |
. |
. | . | . | . | . | . | . | . | -200 |
- |
VD20 |
Д817Г |
. |
. | . | . | . | . | . | . | . | 0** |
100** |
Обозначение в схеме |
Тип лампы |
Величина сопротивления в кΩ |
||||||||
Номера лепестков ламповых панелей |
||||||||||
1 |
2 |
3 |
4 |
5 |
6 |
7 |
8 |
9 |
||
VL1 |
6П1П-ЕВ |
77 |
77 |
2800 |
∞ |
∞ |
77 |
3700 |
2800 |
77 |
VL2 |
6П1П-ЕВ |
77 |
77 |
2800 |
∞ |
∞ |
77 |
3700 |
2800 |
77 |
VL4 |
6Ж3П-Е |
1700 |
0 |
∞ |
∞ |
3700 |
46 |
0 |
- |
- |
VL8 |
6П1П-ЕВ |
77 |
77 |
2800 |
∞ |
∞ |
77 |
3700 |
2800 |
77 |
VL9 |
6Ж3П-Е |
1700 |
0 |
∞ |
∞ |
3700 |
46 |
0 |
- |
- |
VL12 |
6Ж3П-Е |
1000 |
8,2 |
0 |
0 |
1000 |
5100 |
8,2 |
- |
- |
VL13 |
6Н3П-ЕВ |
0 |
20 |
1000 |
39 |
- |
39 |
1000 |
20 |
0 |
VL14 |
6Ж3П-Е |
750 |
8,2 |
0 |
0 |
1000 |
5100 |
8,2 |
- |
- |
VL15 |
6Н3П-ЕВ |
0 |
5,1 |
550 |
130 |
- |
57 |
1000 |
2,2 |
0 |
VL16 |
6П1П-ЕВ |
77 |
77 |
35 |
∞ |
∞ |
77 |
1400 |
35 |
77 |
VL17 |
6Ж3П-Е |
760 |
0 |
∞ |
∞ |
1400 |
46 |
0 |
- |
- |
VL18 |
6Н3П-ЕВ |
∞ |
12** |
51** |
- |
- |
- |
650** |
11** |
∞ |
Примечания: 1. Все измерения, кроме величин, обозначенных «*» н «**», производить относительно корпуса («земля»),
* — измерение напряжения накала,
** — измерения производить относительно плюсового вывода диода VD20, расположенного на панели «Стабилизатор полупроводниковый».
2. Перед измерением величин, указанных в картах напряжений и сопротивлений, необходимо провести следующие операции:
- включить измеритель в сеть, закоммутировать в коммутаторе гнезда 20/I, 26/I, 40/II, 52/II и после 30-минутного прогрева с помощью ручки СЕТЬ при нажатой кнопке СЕТЬ установить стрелку измерителя на калибровочную отметку шкалы;
- ручку переключателя ИЗОЛЯЦИЯ поставить в положение ПАР., ручку переключателя ПАРАМЕТРЫ - в положение 250 и при нажатой кнопке ИЗМЕРЕНИЕ с помощью регулятора «250 V» установить 250 V (шкала 300 V); .
- провести установку нуля и калибровку микроамперметра, как указано в п. 7.1.8. настоящего ТО;
- провести калибровку крутизномера, как указано в п. 7.1.7. настоящего технического описания;
3. После выполнения вышеперечисленных операций ручки переключателей, регуляторов и тумблеров установить в следующие положения:
- ИЗОЛЯЦИЯ - в положение ПАР.;
- ПАРАМЕТРЫ - в положение 250;
- Ua, Ug1, НАКАЛ - ГРУБО, НАКАЛ - ТОЧНО - в крайнее положение, вращая против часовой стрелки, Ug1 – 10 и Ug1, - 65 - в крайнее положение, вращая по часовой стрелке;
- μA - в положение ИЗМЕР.;
- S - в положение ИЗМЕР.
4. После измерения значения напряжений измеритель отключить от сети и приступить к измерению величин, указанных в карте сопротивлений.
5. Допустимые отклонения величин напряжений от приведенных составляют +/- 20%, на VD15, VD16, VD20 +/- 10%, цепей накала +/- 5%, на ножках 7VL1, VL2, VL8, на ножках 5 VL4, VL9, на ножках 6 VL12, VL14 - не нормируются.
6. В карте сопротивлений приведены ориентировочные значения величин.
Приложение 9ОСНОВНЫЕ ДАННЫЕ ТРАНСФОРМАТОРАНомера обмоток |
Номера выводов |
U, V |
I, A |
Провод |
Плотность тока А/mm2 |
Число витков в ячейке |
Число слоев |
Марка и сечение провода вывода |
Изоляция (толщина и слой) |
||||||
Марка |
Диаметр, mm |
Число витков |
Между каркасом и обмоткой |
Между рядами |
Между обмотками |
Наружная |
Выводов |
||||||||
1 |
27; 31 |
92;6 |
1,58 |
ПЭВ-1 |
0,95 |
165,5 |
2,3 |
67 |
3 |
Провод обмотки |
Бумага кабельная К-120 0,12 mm – 2 слоя |
Бумага кабельная К-120 0,12 mm – 1 слой |
Бумага кабельная К-120 0,12 mm – 2 слоя |
Лакоткань ЛХМС 0,2 mm – 2слоя |
Трубка линоксиновая |
31; 60 |
12 |
3,15 |
1,32 |
22 |
2,2 |
46 |
5 |
МГШДОП 0,5 mm2 |
|||||||
60; 47 |
86,3 |
150,5 |
|||||||||||||
47; 48 |
5 |
9 |
|||||||||||||
48; 49 |
5 |
9 |
|||||||||||||
49; 7 |
2,8 |
5 |
|||||||||||||
7; 8 |
5 |
||||||||||||||
8; 50 |
5 |
||||||||||||||
50; 51 |
5 |
||||||||||||||
51; 52 |
5 |
||||||||||||||
52; 53 |
5 |
||||||||||||||
53; 54 |
5 |
||||||||||||||
54; 55 |
5 |
||||||||||||||
55; 56 |
5 |
||||||||||||||
56; 57 |
5 |
||||||||||||||
57; 58 |
5 |
9 |
|||||||||||||
58; 59 |
5 |
9 |
Провод обмотки |
||||||||||||
Поз. обозначение |
Наименование |
Кол. |
Примечание |
Резисторы |
|||
R1 … R6 |
МЛТ-05-1 лOhm +/-10% |
6 |
|
R7 |
30 Ohm + 1% 4.530.148 |
1 |
Провод ПЭШОК Æ0,3 |
R8 |
20 Ohm + 1% » |
1 |
То же |
R9 |
18 Ohm + 1% » |
1 |
» |
R10 |
7 Ohm + 1% » |
1 |
» |
R11 |
5 Ohm + 1% » |
1 |
» |
R12, R13 |
20 Ohm + 1% » |
2 |
» |
R14 |
30 Ohm + 1% 4.530.147 |
1 |
» |
R15 |
10 Ohm + 1% » |
1 |
» |
R16 |
40 Ohm + 1% » |
1 |
» |
R17 |
20 Ohm + 1% » |
1 |
» |
R18 |
180 Ohm + 1% » |
1 |
Провод ПЭШОК Æ0,15 |
R19 |
100 Ohm + 1% » |
1 |
То же |
R20, R21 |
ПЭВ-40-620 Ohm + 5% |
2 |
|
R22 |
ПЭВ-30-470 Ohm + 5% |
1 |
|
R23 |
ПЭВ-20-300 Ohm + 5% |
||
R24 |
ПЭВ-40-1,3 kOhm + 5% |
1 |
|
R25 |
ПЭВ-7,5-300 Ohm + 5% |
1 |
|
R26 |
ПЭВ-10-1,6 kOhm + 5% |
1 |
|
R27, R34 |
МЛТ-2-1 kOhm + 5% |
2 |
500Ohm (параллельно) |
R28 |
МЛТ-0,5-1 kOhm + 10% |
1 |
|
R29 |
600 Ohm + 1% 4.530.148 |
1 |
Провод ПЭШОК Æ0,15 |
R30 |
600 Ohm + 1% 4.530.147 |
1 |
То же |
R31 |
ПЭВ-10-100 Ohm + 10% |
1 |
|
R32 |
ППБ-15Г13-2,2 Ohm + 5% |
1 |
|
R33 |
ППБ-50Г13-47 Ohm + 5% |
1 |
|
R42 |
МЛТ-1-56 kOhm + 5% |
1 |
|
R44 |
488,9 Ohm +/- 0,2% 4.530.126-05 |
1 |
Провод ПЭШОМТ Æ0,1 |
R45 |
293,3 Ohm +/- 0,2% 4.530.126-04 |
1 |
Провод ПЭШОМТ Æ0,15 |
R46 |
97,78 Ohm +/- 0,2% 4.530.126-03 |
1 |
Провод ПЭШОМТ Æ0,2 |
R47 |
48,89 Ohm +/- 0,2% 4.530.126-02 |
1 |
То же |
R48 |
29,33 Ohm +/- 0,2% 4.530.126-01 |
1 |
» |
R49 |
9,778 Ohm +/- 0,2% 4.530.126 |
1 |
Провод ПЭШОМТ Æ0,4 |
R50 |
4,889 Ohm +/- 0,2%4.530.126-14 |
1 |
» |
R51 |
1100 Ohm +/- 0,2% 4.530.126-11 |
1 |
Провод ПЭШОМТ Æ0,1 |
R52 |
550 Ohm +/- 0,2% 4.530.126-10 |
1 |
То же |
R53 |
330 Ohm +/- 0,2% 4.530.126-09 |
1 |
Провод ПЭШОМТ Æ0,15 |
R54, R55 |
110 Ohm +/- 0,2% 4.530.126-08 |
2 |
Провод ПЭШОМТ Æ0,2 |
R56 |
ПЭВ-7,5-1,8 kOhm + 5% |
1 |
|
R57 |
445 Ohm +/- 0,5% 4.530.199 |
1 |
Провод ПЭШОК Æ0,2 |
R58, R59 |
МЛТ-0,5-1 kOhm + 10% |
2 |
|
R63 |
3965 Ohm +/- 0,2 % 4.530.139-01 |
1 |
Провод ПЭШОМТ Æ 0,1 |
R64 |
17390 Ohm +/- 0,2 % 4.530.139-08 |
1 |
Провод ПЭШОМТ Æ 0,05 |
R65 |
21740 Ohm +/- 0,2% 4.530.139-06 |
1 |
То же |
R66 |
43480 Ohm +/- 0,2% 4.530.139-07 |
1 |
» |
R68 |
4,889 Ohm +/- 0,2% 4.530.126-07 |
1 |
Провод ПЭШОМТ Æ 0,4 |
R69 |
11200 Ohm +/- 0,2% 4.530.139-02 |
1 |
Провод ПЭШОМТ Æ 0,05 |
R70 |
МРХ-0,05-30 kOhm +/- 0,05A |
1 |
|
R71 |
МРХ-0,05-50 kOhm +/- 0,05A |
1 |
|
R72 |
МЛТ-0,5-270 kOhm +/- 5% |
1 |
|
R73 |
МЛТ-0,5-100 kOhm +/- 10% |
1 |
|
R74* |
МЛТ-0,5-300 kOhm ¸ 370 kOhm +/- 10% |
1 |
|
R75* |
МЛТ-0,5-1 MOhm +/- 5% |
1 |
|
R76 |
II-Cп-I-1-1 MOhm + 30%-A-BC-2-20 |
1 |
|
R77* |
МЛТ-0,5-750 kOhm + 10% |
1 |
|
R78 |
МЛТ-0,5-3,6 MOhm + 10% |
1 |
|
R79 |
МЛТ-2-330 kOhm + 10% |
1 |
|
R80 |
МЛТ-0,5-51 kOhm + 10% |
1 |
|
R81 |
МЛТ-0,5-68 kOhm + 10% |
1 |
|
R82, R127 |
МЛТ-0,5-10 kOhm + 10% |
2 |
20 kOhm (последовательно подбирать с точностью +/- 0,5%) |
R83, R177 |
МЛТ-0,5-15 kOhm +/- 10% |
2 |
30 kOhm (последовательно подбирать с точностью +/- 0,5%) |
R84 |
400 Ohm +/- 0,2% 4.530.126-06 |
1 |
Провод ПЭШОМТ Æ0,1 |
R85 |
МГП-0,5-2,2 MOhm +/- 1% |
1 |
|
R178* |
МЛТ-0,5-330 kOhm ¸ 430 kOhm +/- 5% |
1 |
См. примечание п.3 |
R86 |
ПЭВ-10-5,1 kOhm +/- 5% |
1 |
|
R87 |
0,5 Ohm +/- 10% 7.714.019 |
1 |
|
R88* |
МЛТ-1-30 kOhm +/- 10% |
1 |
|
R89 |
II-Сп-I-1-22 kOhm +/- 20%-A-BC-2-20 |
1 |
|
R90* |
МЛТ-1-51 kOhm +/- 10% |
1 |
|
R91 |
II-Сп-I-1-4,7 kOhm +/- 20%-A-BC-2-20 |
1 |
|
R92* |
7390Ohm +/- 0,2% 4.530.139 |
1 |
См. примечание п.1 Провод ПЕШОМТ Æ0,05 |
R93 |
150 Ohm +/- 0,5% 4.530.149 |
1 |
Провод ПЕШОМТ Æ0,15 |
R94 |
2350 Ohm +/- 0,5% » |
1 |
Провод ПЕШОМТ Æ0,05 |
R95 |
3750 Ohm +/- 0,5% » |
1 |
То же |
R96 |
6250 Ohm +/- 0,5% 4.530.149 |
1 |
То же |
R97 |
12500 Ohm +/- 0,5% » |
1 |
То же |
R98 |
МЛТ-0,5-47 kOhm +/- 10% |
1 |
100 kOhm (последовательно подбирать с точностью +/- 0,5%) |
R193 |
МЛТ-0,5-51 kOhm +/- 10% |
1 |
|
R99 |
МЛТ 0,5-300 kOhm +/- 10% |
1 |
375 kOhm (последовательно подбирать с точностью +/- 0,5%) |
R184 |
МЛТ-0,5-75 kOhm +/- 10% |
1 |
|
R100 |
450 Ohm +/- 0,5% 4.530.126-12 |
1 |
См. примечание п. 1 |
R101 |
390 Ohm +/- 0,2% 4.530.126-13 |
1 |
|
R102, R185 |
МЛТ-0,5-62 kOhm +/- 5% |
2 |
125 kOhm (последовательно подбирать с точностью +/- 0,5%) |
R103 |
MPX-0,125-300 kOhm +/- 0,05A |
1 |
|
R104 |
MPX-0,05-100 kOhm +/- 0,05A |
1 |
|
R105 |
MPX-0,05-50kOhm +/- 0,05A |
1 |
|
R106 |
MPX-0,05-30 kOhm +/- 0,05A |
1 |
|
R107 |
MPX-0,05-10 kOhm +/- 0,05A |
1 |
|
R108 |
1200 Ohm +/- 0,2% 4.530.139-03 |
1 |
Провод ПЭШОМТ Æ0,1 |
R109 |
МЛТ-0,5-9,1 kOhm +/- 10% |
1 |
|
R110, R186 |
МЛТ-2-3,9 kOhm +/- 10% |
2 |
1,95 kOhm |
R111* |
МЛТ-0,5-1 MOhm +/- 5% |
1 |
(параллельно) |
R112 |
II-Сп-I-1-1 MOhm +/- 30% - A-BC-2-2D |
1 |
. |
R113* |
МЛТ-0,5-750 kOhm +/- 10% |
1 |
. |
R114 |
МЛТ-0,5-1 kOhm +/- 10% |
1 |
. |
R115 |
МЛТ-0,5-3,6 MOhm +/- 10% |
1 |
. |
R116 |
МЛТ-2-330 kOhm +/- 10% |
1 |
. |
R117 |
МЛТ-0,5-51 kOhm +/- 10% |
1 |
|
R118 |
МЛТ-0,5-16 kOhm +/- 10% |
1 |
|
R119 |
МЛТ-2-3,9 kOhm +/- 10% |
1 |
|
R120 |
МЛТ-0,5-200 kOhm +/- 5% |
1 |
|
R121 |
МЛТ-0,5-51 kOhm +/- 5% |
1 |
|
R122 |
II-Сп-II-1-22 kOhm +/- 20% |
1 |
|
R123 |
II-Сп-I-1-1 kOhm +/- 20% - A-BC-2-12 |
1 |
|
R124 |
МЛТ-0,5-10 kOhm +/- 10% |
1 |
|
R125 |
II-Сп-I-1-1 kOhm +/- 20% - A-BC-2-12 |
1 |
|
R126 |
МЛТ-0,5-100 kOhm +/- 10% |
1 |
|
R128 |
МЛТ-0,5-1 kOhm +/- 10% |
1 |
|
R129 |
II-Сп-I-1-100 kOhm +/- 20% - A-BC-2-12 |
1 |
|
R130 |
МЛТ-0,5-130 kOhm +/- 10% |
1 |
|
R131 |
МЛТ-0,5-51 kOhm +/- 10% |
1 |
|
R132 |
МЛТ-0,5-1 MOhm +/- 5% |
1 |
|
R133 |
МЛТ-0,5-5,1 MOhm +/- 5% |
1 |
|
R134 |
МЛТ-0,5-1 MOhm +/- 5% |
1 |
|
R135 |
МЛТ-0,5-5,1 MOhm +/- 5% |
1 |
|
R136 |
МЛТ-0,5-300 kOhm +/- 10% |
1 |
|
R137 |
МЛТ-0,5-100 kOhm +/- 10% |
1 |
|
R138 |
МЛТ-1-18 kOhm +/- 10% |
1 |
|
R139 |
МЛТ-0,5-1 MOhm +/- 10% |
||
R140 |
МЛТ-0,5-8,2 kOhm +/- 5% |
||
R141 |
МЛТ-1-20 kOhm +/- 5% |
||
R142* |
МЛТ-0,5-240 ¸ 470 kOhm +/- 5% |
||
R143 |
МЛТ-0,5-8,2 kOhm +/- 5% |
||
R144 |
МЛТ-1-20 kOhm +/- 5% |
||
R145 |
МЛТ-0,5-510 kOhm +/- 5% |
||
R146 |
МЛТ-0,5-13 kOhm +/- 5% |
||
R147 |
МЛТ-0,5-2 kOhm +/- 5% |
||
R148 |
МЛТ-0,5-12 kOhm +/- 5% |
22 kOhm (последовательно подбирать с точностью +/- 0,5%) |
|
R187 |
МЛТ-0,5-10 kOhm +/- 10% |
||
R149 |
МЛТ-0,5-10 kOhm +/- 10% |
41kOhm (последовательно подбирать с точностью +/- 0,5%) |
|
R188 |
МЛТ-0,5-30 kOhm +/- 5% |
||
R150 |
МЛТ-0,5-10 kOhm +/- 10% |
41 kOhm (последовательно подбирать с точностью +/- 0,5%) |
|
R189 |
МЛТ-0,5-30 kOhm +/- 5% |
||
R151 |
МЛТ-0,5-12 kOhm +/- 5% |
27 kOhm (последовательно подбирать с точностью +/- 0,5%) |
|
R190 |
МЛТ-0,5-15 kOhm +/- 5% |
49 kOhm (последовательно подбирать с точностью +/- 0,5%) |
|
R152 |
МЛТ-0,5-30 kOhm +/- 5% |
||
R191 |
МЛТ-0,5-20 kOhm +/- 5% |
49 kOhm (последовательно подбирать с точностью +/- 0,5%) |
|
R153 |
МЛТ-0,5-30 kOhm +/- 5% |
||
R192 |
МЛТ-0,5-20 kOhm +/- 5% |
||
R154 |
МЛТ-0,5-430 kOhm +/- 5% |
||
R155 |
II-Сп-II-1-220 kOhm +/- 20% |
||
R156 |
МЛТ-0,5-300 kOhm +/- 10% |
||
R157 |
II-Cg-II-1-1 kOhm +/- 20% |
||
R158 |
МЛТ-0,5-300 kOhm +/- 10% |
||
R159 |
120 Ohm +/- 0,2% 4.530.150 |
1 |
Провод ПЭШОК Æ0,15 |
R160 |
56 Ohm +/- 0,2% 4.530.150 |
1 |
Провод ПЭШОК Æ0,15 |
R161 |
4 Ohm +/- 0,2% » |
1 |
Провод ПЭШОК Æ0,35 |
E162 |
36 Ohm +/- 0,2% » |
1 |
Провод ПЭШОК Æ0,2 |
R163 |
12 Ohm +/- 0,25 4.530.151 |
1 |
То же |
R164 |
6 Ohm +/- 0,2% » |
1 |
Провод ПЭШОК Æ0,35 |
R165 |
3,6 Ohm +/- 0,2% » |
1 |
То же |
R166 |
2,4 Ohm +/- 0,2% » |
1 |
Провод ПЭШОК Æ0,4 |
R167 |
МЛТ-2-910 Ohm +/- 10% |
1 |
|
R168 |
МЛТ-0,5-1 MOhm +/- 10% |
1 |
|
R169 |
1 |
||
R170 |
МЛТ-0,5-1 MOhm +/- 10% |
1 |
|
R171 |
МЛТ-0,5-1 kOhm +/- 10% |
1 |
|
R172 |
МЛТ-0,5-1,3 MOhm +/- 10% |
1 |
|
R173 |
МЛТ-2-330 kOhm +/- 10% |
1 |
|
R174 |
МЛТ-0,5-51 kOhm +/- 10% |
1 |
|
R175, R176, R179…R181 |
МЛТ-1-100 kOhm +/- 10% |
5 |
|
R182 |
МЛТ-2-200 Ohm +/- 10% |
1 |
|
R183** |
МЛТ-0,5-1-1,5 MOhm +/- 10% |
1 |
|
Конденсаторы |
|||
С1 |
К50-3Б-450-20 |
1 |
|
С2 |
К50-3Б-450-10 |
1 |
|
С3 |
К50-3Б-50-100 |
1 |
|
С4 |
К50-3Б-50-2000 |
1 |
|
С5 |
К73-15-400V-0,1 uF +/- 10% - У |
1 |
|
С6 |
К-42У-2-630-0,15 +/- 10% |
1 |
|
С7 |
К73-15-400V-0,1 uF +/- 10% - У |
1 |
|
С8б С18 |
К50-3Б-450-20 |
2 |
40 +/- µF (параллельно) |
С9 |
К50-3Б-300-50 |
1 |
|
С10 |
МБМ-500-0,05 +/- 10% |
1 |
|
С11…C13 |
МБМ-160-0,1 +/- 10% |
3 |
|
C14 |
КСО-2-500-Г-2200 +/- 5% |
1 |
|
C15 |
МБГП-3-200V-2´0,25 uF – 10% - У |
1 |
|
C16 |
МБМ-500-0,1 +/- 10% |
1 |
|
C17 |
К73-15-400V-0,033 uF +/- 10% - У |
1 |
|
C19 |
МБМ-500-0,1 +/- 10% |
1 |
|
C20 |
К73-15-400V-0,022 uF +/- 10% - У |
1 |
|
C21 |
КСО-2-500-Г-2700 +/- 5% |
1 |
|
C22, C23 |
МБМ-750-0,01 +/- 10% |
2 |
|
C24 |
КСО-5-500-Г-2700 +/- 2% |
1 |
|
C25 |
КСО-5-500-Г-2200 +/- 2% |
1 |
|
C26 |
КСО-5-500-Г-2200 +/- 2% |
1 |
|
C27 |
КСО-2-500-Г-2200 +/- 2% |
1 |
|
C28 |
КСО-5-500-Г-4300 +/- 2% |
1 |
|
C29 |
КСО-2-500-Г-2200 +/- 2% |
1 |
|
C30 |
К73-15-400V-0,033 uF +/- 10% - У |
1 |
|
C31 |
МБГП-3-200V-2´0,25 uF – 10% - У |
1 |
|
C33 |
КСО-2-500-Г-220 +/- 5% |
1 |
|
C34 |
МБМ-500-0,05 +/- 10% |
1 |
|
C35, C36 |
К50-3Б-450-20 |
2 |
|
C37, C38 |
КСО-2-500-A-100 +/- 10% |
2 |
|
C39 |
КСО-2-500-A-200 +/- 10% |
1 |
|
C40* |
КСО-1-250-Б-510 +/- 10% |
1 |
|
C41 |
МБМ-160-1,0 +/- 10% |
1 |
|
C42 |
К50-3Б-450-20 |
1 |
|
C43, C44 |
МБМ-160-0,1 +/- 10% |
2 |
|
C45 |
КСО-1-250-Б-51 +/- 10% |
1 |
|
C46 |
К50-3Б-50-2000 |
1 |
|
C47** |
КСО-1-250-Б-51 +/- 10% |
1 |
|
C48 |
МБМ-500-0,1 +/- 10% |
1 |
|
C49 |
КСО-1-250-Б-51 +/- 10% |
1 |
|
L1…L6 |
Дроссель 4.553.005 |
6 |
Провод ПЭВ1 Æ0,14 |
L7, L8 |
Дроссель 4.553.004 |
2 |
То же |
L9 |
Дроссель 4.553.005 |
1 |
» |
P |
Микроамперметр М906-10 0-150 uА 850 Ohm кл. 1,0 с горизонтальным рабочим положением |
1 |
|
SA1 |
Переключатель галетный ПГК-5П6Н-8 |
1 |
|
SA2 |
Переключатель галетный ПГГ-11П5Н-4 |
1 |
|
SA3…SA5 |
Тумблер ТП1-2 |
3 |
2А |
SA6 |
Переключатель 15П2Н1 |
1 |
|
SA7 |
Держатель предохранителя ДП-3Ц |
1 |
|
SB1 |
Переключатель кнопочный 3.602.017 |
1 |
|
SB2 |
Переключатель кнопочный 3.602.018 |
1 |
|
T |
Трансформатор 4.540.412 |
1 |
|
XS1, XS2 |
Гнездо 3.647.004 |
2 |
|
XS3 |
Гнездо 3.647.005 |
1 |
|
XS4 |
Гнездо контрольное МГК1-1 0.364.00 ТУ |
1 |
|
XS5 |
Гнездо 3.647.005 |
1 |
|
VD1…VD4 |
Диод 2Д202В (КД202В) |
4 |
3А |
VD9, VD10 |
Диод Д106А |
2 |
|
VD11, VD12 |
Диод Д1009 |
2 |
|
VD13 |
Диод МД218 |
1 |
|
VD14 |
Диод Д237В |
1 |
|
VD15, VD16 |
Стабилитрон кремниевый Д817Г |
2 |
|
VD17…VD19 |
Диод Д7Г |
3 |
|
VD20 |
Стабилитрон кремниевый Д817Г |
1 |
|
VD21…VD22 |
Диод Д229А |
2 |
|
VL1, VL2 |
Лампа 6П1П-ЕВ |
2 |
|
VL4 |
Лампа6Ж3П (6Ж3П-Е) |
1 |
|
VL8 |
Лампа 6П1П-ЕВ |
1 |
|
VL9, VL12 |
Лампа 6Ж3П (6Ж3П-Е) |
2 |
|
VL13 |
Лампа 6Н3П-ЕВ |
1 |
|
VL14 |
Лампа 6Ж3П (6Ж3П-Е) |
1 |
|
VL15 |
Лампа 6Н3П-ЕВ |
1 |
|
VL16 |
Лампа 6П1П-ЕВ |
1 |
|
VL17 |
Лампа 6Ж3П (6Ж3П-Е) |
1 |
|
VL18 |
Лампа 6Н3П-ЕВ |
1 |
|
HL |
Лампа накаливания КМ6-60 |
1 |
Лампа сигнальная |
S1 |
Коммутатор 4.847.030 |
1 |
Составные части коммутатора S |
S2 |
Коммутатор 4.847.030 |
1 |
|
E1 |
Панель ламповая 4.812.071 |
1 |
|
E2 |
Панель ламповая 4.812.065 |
1 |
|
E3 |
Панель ламповая 4.812.074 |
1 |
|
E4 |
Панель ламповая 4.812.066 |
1 |
|
E5 |
Панель ламповая 4.812.069 |
1 |
|
E6 |
Панель ламповая 4.812.070 |
1 |
|
E7 |
Панель ламповая 4.812.066 |
1 |
|
E8 |
Панель ламповая 4.812.076 |
1 |
|
E9 |
Панель ламповая 4.812.075 |
1 |
|
E10 |
Панель ламповая 4.812.063 |
1 |
|
E11, E12 |
Панель ламповая 4.812.064 |
2 |
|
E13 |
Панель ламповая 4.812.068 |
1 |
|
E14 |
Панель ламповая 4.812.077 |
1 |
|
E15 |
Панель ламповая 4.812.073 |
1 |
|
E16 |
Панель ламповая 4.812.062 |
1 |
|
E17 |
Панель ламповая 4.812.072 |
1 |
|
E18 |
Панель ламповая 4.812.061 |
1 |
|
E19 |
Панель ламповая 4.812.067 |
1 |
|
X |
Клемма КП-1б 0.483.002 |
1 |
|
XT |
Колодка питания 3.666.008 |
1 |
|
FU |
Предохранитель ПМ4 |
1 |
4А (cеть 220V, 127V) |
Предохранитель ПМ5 |
5А (сеть 115V) |
||
Примечания: 1. Величина сопротивления R100 подбирается так, чтобы сумма сопротивлений микроамперметра Р и R100 была равна 940 W + 0,2%. Величина сопротивления R92 подбирается так, чтобы входное сопротивление измерительной цепи в точках «КК» (сопротивление микроамперметра + сопротивление R100 + сопротивление R101 + сопротивление R92) равнялось 8720 W + 0,2% при нормальной температуре.
2. Микроапмерметр Р должен иметь калибровочную отметку «▼»на делении 120 шкалы.
3. Величина сопротивления R85 подбирается таким образом, чтобы при питании от сети 220V +/- 2,5% (седьмое положение переключателя СЕТЬ – SA6) при нажатой кнопке СЕТЬ стрелка прибора измерителя стояла на калибровочной отметке шкалы, причём коэффициент нелинейных искажений сети должен быть не более 5%.
4. Элементы обозначенные «*», подбираются при настройке, элементы обозначенные «**», устанавливаются при необходимости.
5. Стрелки элементов регулировки показывают направление увеличения устанавливаемой величины.
6. ○ – основные элементы регулировки на лицевой панели;
○ - вспомогательные элементы регулировки на лицевой панели;
● – вспомогательные элементы регулировки на боковых панелях измерителя.
7. В измерителе могут быть использованы лампы с индексами Е, В, ЕВ с соответствующей приёмкой и без индексов.
8. На схеме обозначены только гнёзда коммутатора S (см. п. 3.2.3).
Приложение 16Таблица соединений к схеме электрической соединенийОбозначение провода |
Откуда идёт |
Куда поступает |
1 |
67/I прав |
XS2 |
2 |
67/I лев |
E14: 8 |
3 |
68/I лев |
E13: 7 |
4 |
69/I лев |
E13: 4 |
5 |
70/I лев |
E13: 2 |
6 |
71/I лев |
E13: 6 |
7 |
72/I лев |
E13: 5 |
8 |
67/II лев |
E13: 3 |
9 |
68/II прав |
SA1.1: 6 |
10 |
68/II лев |
E13: 1 |
11 |
69/II прав |
C4 «+» |
12 |
69/II лев |
SA1.2: 10 |
13 |
70/II прав |
VD1, VD2 |
14 |
70/II лев |
T: 33 |
15 |
71/II лев |
SB2: 3 |
16 |
71/II лев |
Стабилизатор ламповый контакт 18 |
17 |
72/II прав |
SB1: 1 |
18 |
72/II лев |
Распаечная стойка для R71 |
19 |
61/II прав |
SA1.3: 1 |
20 |
62/II прав |
G5, R42 |
21 |
63/II прав |
VD4, VD3 |
22 |
63/II лев |
R32 |
23 |
63/II лев |
R69 |
24 |
65/II лев |
SB2: 6 |
25 |
66/II прав |
SB1: 4 |
26 |
55/I прав |
C4 «-» |
27 |
59/I прав |
E13: 8 |
28 |
59/II прав |
T: 21 |
29 |
60/II прав |
T: 26 |
30 |
60/II лев |
VD12 «+» |
31 |
49/I прав |
R30 |
32 |
50/I прав |
R29 |
33 |
53/I прав |
R20 |
34 |
54/I прав |
R7 |
35 |
52/II лев |
T: 34 |
36 |
53/II лев |
T: 31 |
37 |
54/II лев |
T: 24 |
38 |
43/II прав |
SA2.3: 12 |
39 |
45/II лев |
VD15 «+» |
40 |
47/II прав |
T: 43 |
41 |
48/II прав |
T: 42 |
42 |
48/II лев |
VD11 «+» |
43 |
37/I прав |
С2 «+» |
44 |
38/I лев |
С3 «+» |
45 |
39/I лев |
R23, R24 |
46 |
40/I лев |
R24, R25 |
47 |
41/I лев |
R25, R26 |
48 |
42/I лев |
R26, R27 |
49 |
37/II прав |
SA2.4: 11 |
50 |
37/II лев |
R27, R34 |
51 |
38/II лев |
R127, R83 |
52 |
39/II лев |
SA1.3: 4 |
53 |
39/II лев |
uAS: 17 |
54 |
39/II прав |
SA1.3:3 |
55 |
40/II лев |
T: 13 |
56 |
41/II лев |
T: 32 |
57 |
42/II лев |
T: 40 |
58 |
31/I прав |
C3 «-» |
59 |
31/I лев |
R9, R10 |
60 |
32/I прав |
R29, R30 |
61 |
32/I лев |
R10, R11 |
62 |
33/I лев |
R11, R12 |
63 |
34/I лев |
R12, R13 |
64 |
35/I лев |
R13, R14 |
65 |
36/I лев |
R14, R15 |
66 |
31/II лев |
R15, R16 |
67 |
32/II лев |
R16, R17 |
68 |
33/II лев |
R17, R18 |
69 |
34/II лев |
R18, R19 |
70 |
35/II лев |
R19 |
71 |
25/I прав |
VL4: 2 |
72 |
27/I лев |
SA2.5: 6 |
73 |
28/I лев |
R44, R45 |
74 |
29/I лев |
R45, R46 |
75 |
30/I лев |
R46, R47 |
76 |
25/II лев |
R47, R48 |
77 |
26/II лев |
R48, R49 |
78 |
27/II прав |
SA1.2: 12 |
79 |
27/II лев |
R49, R50 |
80 |
29/II лев |
R7, R8 |
81 |
30/II прав |
SA1.2: 1 |
82 |
30/II лев |
R8, R9 |
83 |
19/I лев |
VL: 2 |
84 |
21/I лев |
T: 37 |
85 |
22/I лев |
T: 39 |
86 |
23/I лев |
T: 41 |
87 |
24/I лев |
T: 23 |
88 |
19/II лев |
T: 25 |
89 |
20/II лев |
T: 28 |
90 |
21/II лев |
T: 30 |
91 |
22/I лев |
T: 36 |
92 |
57/II лев |
R66 |
93 |
23/II прав |
SA2.1: 4 |
94 |
9/II прав |
SA2.1: 3 |
95 |
8/I прав |
SA1.2: 5 |
96 |
13/I лев |
R69, R70 |
97 |
14/I лев |
R70, R71 |
98 |
15/I лев |
R107, R108 |
99 |
16/I лев |
R106, R107 |
100 |
17/I лев |
R105, R106 |
101 |
18/I лев |
R105, R104 |
102 |
13/II лев |
R104, R103 |
103 |
14/II лев |
SA2.5: 7 |
104 |
15/II лев |
R51, R52 |
105 |
16/II лев |
R52, R53 |
106 |
17/II прав |
SA1.3: 6 |
107 |
17/II лев |
R53, R54 |
108 |
18/II лев |
R54, R55 |
109 |
7/I прав |
T: 18 |
110 |
1/I прав |
R103 |
111 |
8/I лев |
R50, R68 |
112 |
9/I лев |
R184 |
113 |
10/I лев |
R99, R180 |
114 |
11/I лев |
R98, R97 |
115 |
12/I лев |
R96, R97 |
116 |
7/II прав |
SA1.1: 12 |
117 |
7/II лев |
SA1.1: 10 |
118 |
8/II лев |
R63, R64 |
119 |
9/II лев |
R64, R65 |
120 |
10/II лев |
R65, R66 |
121 |
12/II прав |
R56 |
122 |
11/II лев |
R56, R57 |
123 |
12/II прав |
SA2.4: 3 |
124 |
1/I прав |
SA2.3: 7 |
125 |
1/I лев |
R89: 2 |
126 |
2/I лев |
R91: 2 |
127 |
4/I лев |
uAS: 8 |
128 |
4/II прав |
SA2.2: 11 |
129 |
5/II прав |
R76: 1 |
130 |
6/II прав |
R76: 3 |
131 |
6/II лев |
Стабилизатор ламповый |
136 |
R31 |
С4 «-» |
137 |
R31 |
VD3, VD2 |
141 |
SA7 «220V» |
T: 27 |
142 |
SA7 «127V» |
T: 31 |
144 |
XT: 2 |
SA3 |
145 |
X |
Стабилизатор полупроводниковый, «корпус» |
146 |
HL: 1 |
T: 25 |
147 |
HL: 2 |
T: 33 |
148 |
SA3 |
R87 |
150 |
VD16 «+» |
Распаечная стойка E17 (R113) |
151 |
R76: 2 |
VL4: 1 |
152 |
R112: 2 |
VL9: 1 |
153 |
R111 |
SA2.4: 7 |
154 |
R111 |
Стабилизатор ламповый, контакт 1а |
155 |
R129: 2 |
uAS: 18 |
156 |
SA5 |
C6 |
157 |
SA5 |
R160, R161 |
158 |
SA2.5: 1 |
R125: 3 |
159 |
SA1.1: 5 |
SA2.3: 3 |
160 |
R63 |
SA2.5: 3 |
161 |
13/II прав |
SA4: 4 |
163 |
R44 |
SA2.5: 6 |
164 |
R51 |
SA2.5: 7 |
165 |
SA2.5: 8 |
uAS: 26 |
167 |
SA2.4: 10 |
uAS: 22 |
168 |
R108 |
SA2.5: 2 |
169 |
R68 |
SA2.4: 11 |
170 |
R55 |
SA2.4: 4 |
171 |
SA1.3: 4 |
SA2.4: 5 |
172 |
SA2.4: 8 |
uAS: 24 |
174 |
SA2.5: 12 |
SB1: 3 |
175 |
R84 |
SA2.3: 1 |
176 |
SA2.2: 12 |
SB1: 6 |
177 |
SA1.2: 11 |
SA2.3: 1 |
178 |
R84 |
SA2.2: 3 |
179 |
SB1: 2 |
SB2: 1 |
180 |
SB2: 2 |
R100 |
181 |
SB2: 4 |
SB1: 5 |
182 |
SB2: 5 |
R92 |
183 |
Стабилизатор полупроводниковый, «корпус» |
C2 «-» |
184 |
SB2: 6 |
R91: 4 |
185 |
P «+» |
R101 |
186 |
P «-» |
R100 |
189 |
SA1.1: 1 |
uAS: 13 |
190 |
R93 |
SA1.1: 1 |
198 |
SA1.1: 9 |
R94, R95 |
200 |
R123: 2 |
uAS: 27 |
201 |
R123: 3 |
R122: 1 |
202 |
R123: 1 |
uAS: 19 |
203 |
9/I лев |
uAS: 25 |
204 |
R33 |
VD4, VD1 |
206 |
SA4: 3 |
R93, R94 |
208 |
R125: 2 |
R122: 2 |
209 |
SB1: 7 |
SA2.2: 9 |
210 |
SB1: 8 |
R92 |
220 |
R57 |
VL2: 3 |
221 |
VL2 «ключ» |
R56, R57 |
222 |
Стабилизатор ламповый контакт 12 |
uAS: 28 |
223 |
VD20 «-» |
uAS: 15 |
224 |
VD20 «+» |
uAS: 12 |
225 |
T: 20 |
uAS: 11 |
226 |
T: 19 |
uAS: 7 |
227 |
T: 22 |
uAS: 16 |
229 |
T: 16 |
VL: 3 |
230 |
T: 15 |
VL9: 4 |
231 |
CI «+» |
R20 |
232 |
T: 29 |
VD20 «-» |
233 |
T29 |
C9 «-» |
234 |
T: 38 |
VD14 «+» |
239 |
T: 2 |
VL8: 4 |
240 |
T: 4 |
VL8: 5 |
241 |
T: 9 |
VL2: 4 |
242 |
T: 10 |
VL2: 5 |
243 |
T: 13 |
VL16: 4 |
244 |
T: 14 |
VL16: 5 |
245 |
T: 26 |
Стабилизатор ламповый, контакт 20 |
247 |
C8 «-» |
Стабилизатор ламповый, контакт 19 |
248 |
R86 |
VD16 «+» |
250 |
R119 |
VD20 «-» |
251 |
C35 «+» |
VD11, VD12 «-» |
252 |
Стабилизатор полупроводниковый, «корпус» |
Стабилизатор ламповый. Распаечная стойка у VL9 (корпус) |
253 |
43/II лев |
Распаечная стойка E9 |
263 |
T: 45 |
uAS: 20 |
264 |
T: 46 |
uAS: 21 |
265 |
R107 |
R108 |
267 |
T: 49 |
SA6.1: 3 |
268 |
T: 7 |
SA6.2: 4 |
269 |
T: 8 |
SA6.1: 5 |
270 |
T: 50 |
SA6.2: 6 |
271 |
T: 51 |
SA6.1: 7 |
272 |
T: 52 |
SA6.2: 8 |
273 |
T: 53 |
SA6.1: 9 |
274 |
T: 54 |
SA6.2: 10 |
275 |
T: 55 |
SA6.1: 11 |
276 |
T: 56 |
SA6.2: 12 |
277 |
T: 57 |
SA6.1: 13 |
278 |
T: 58 |
SA6.2: 14 |
279 |
T: 59 |
SA6.1: 15 |
280 |
T: 47 |
SA6.1: 1 |
281 |
T: 48 |
SA6.2: 2 |
282 |
SA7 «115V» |
T: 60 |
283 |
T: 18 |
T: 22 |
285 |
R70 |
R69 |
286 |
XS5 |
Распаечная стойка E19 |
287 |
67/II прав |
Распаечная стойка E2 |
289 |
VD16 «+» |
Стабилизатор ламповый, контакт 10 |
297 |
R82 |
R123: 4 |
298 |
R177 |
R42 |
299 |
R42 |
Стабилизатор ламповый, контакт 12 |
300 |
T:11 |
T:18 |